Уважаемые читатели и подписчики, приятно, что вы продолжаете изучать устройство автомобилей! И сейчас вашему вниманию электронная система впрыска топлива, принцип действия которой я постараюсь рассказать в этой статье.
Да, именно о тех устройствах, которые вытеснили из под капотов машин проверенные временем карбюраторные системы питания, а также узнаем много ли общего у современных бензиновых и дизельных двигателей.
Начало подачи (перекрытие канала) и начало впрыска
Термин «начало подачи» относится к действительному началу подачи насоса высокого давления. Вместе с началом подачи (FB) действительное начало впрыска (SB) также имеет большое значение для оптимальной отдачи двигателя. Так как начало подачи (перекрытие канала) может быть определено более просто, чем действительное начало впрыска для двигателя при его остановке, то установка (настройка) топливного насоса высокого давления (ТНВД) производится при начале подачи топлива. Это возможно, т.к. между началом подачи и началом впрыска (4) существует определенное соотношение. Начало впрыска определяется с помощью угла поворота коленчатого вала (5) в области верхней мертвой точки (ВМТ) поршня, при котором о ткрывается форсунка и топливо впрыскивается в камеру сгорания. Начало впрыска топлива в камеру сгорания имеет значительное влияние на начало сгорания топливо-воздушной смеси. Максимальная конечная температура сжатия возникает в ВМТ. Если сгорание начинается раньше ВМТ, то давление сгорания резко возрастает и тормозит движение поршня вверх, уменьшая, таким образом, эффективную мощность двигателя. Резкий рост давления сгорания также приводит к «жесткой» работе двигателя. Сгорание, тем не менее, должно закончиться до того, как откроется выпускной клапан. Имеет место также и понижение расхода топлива, если сгорание начинается в области ВМТ.
Если начало сгорания опережается (2), то температура в камере сгорания возрастает, что приводит также и к увеличению выбросов NOx (1). Если начало впрыска слишком запаздывает (3), то это может привести к неполному сгоранию и к выбросу не полностью сгоревших углеводородов.
Мгновенное положение поршня влияет на движение воздуха в камере сгорания, его плотность и температуру. Соответственно, скорость движения и качество смешивания топливо-воздушной смеси зависят от начала впрыска. Таким образом, начало впрыска также влияет на выбросы сажи и продуктов неполного сгорания. Такая взаимная зависимость удельного расхода топлива и выбросов углеводородов с одной стороны и выбросов черного дыма и N0 с другой стороны требует минимально возможных допусков для начала впрыска, чтобы добиться оптимальных величин (а — оптимальное начало впрыска).
Различные периоды задержки воспламенения при различных температурах требуют температурной коррекции начала впрыска. При подаче топлива, время распространения топлива зависит от длины магистрали. При высоких оборотах это имеет результатом задержку впрыска (т.е. время от начала подачи до начала впрыска). Вдобавок к этому, чем выше обороты двигателя, тем выше задержка воспламенения (т.е. время от начала впрыска до начала воспламенения). Оба этих фактора должны быть скомпенсированы, и это является причиной того, почему в систему впрыска топлива должно быть встроено устройство корректировки момента впрыска, зависящего от числа оборотов двигателя опережения и момента начала впрыска. Из соображений шумности и уменьшения выбросов, различные характеристики начала впрыска для режима полной нагрузки (2) требуются чаще, чем для режима частичной нагрузки (3). Характеристика начала впрыска показывает схематически зависимость начала впрыска (4) от температуры, нагрузки и оборотов двигателя (5). (1 — запуск холодного двигателя).
Краткая история появления
Изначально все бензиновые двигатели оснащались исключительно карбюраторами, потому что долгое время это был единственный механизм, с помощью которого топливо смешивалось с воздухом и всасывалось в цилиндры. Работа этого устройства заключается в том, что небольшая порция бензина всасывается в поток воздуха, проходящего через камеру механизма во впускной коллектор.
На протяжении более 100 лет устройство дорабатывалось, благодаря чему некоторые модели способны подстраиваться под разные режимы работы мотора. Конечно, электроника справляется с этой работой намного лучше, но на те времена это был единственный механизм, доработка которого позволяла сделать машину либо экономичной, либо быстрой. Некоторые модели спорткаров даже оснащались отдельными карбюраторами, что в разы повышало мощность машины.
В середине 90-х годов прошлого столетия эта разработка постепенно была заменена на более эффективный вид топливных систем, который работал уже не за счет параметров жиклеров (о том, что это такое и как их размеры влияют на работу мотора, читайте в отдельной статье) и объема камер карбюратора, а на основании сигналов от ЭБУ.
Причин такой замены несколько:
- Карбюраторный тип систем менее экономичен, чем электронный аналог, а значит, он имеет низкую топливную эффективность;
- Эффективность карбюратора проявляется не на всех режимах работы мотора. Это обусловлено физическими параметрами его деталей, которые можно изменить только при помощи установки других подходящих элементов. В процессе смены режимов работы ДВС, пока машина продолжает движение это невозможно сделать;
- Работа карбюратора зависит от места его установки на двигателе;
- Так как топливо в карбюраторе хуже смешивается, чем во время распыления форсункой, в выхлопную систему попадает больше несгоревшего бензина, что повышает уровень загрязнения окружающей среды.
Система впрыска топлива впервые начала применяться на серийных автомобилях еще в начале 80-х годов ХХ века. Однако на авиации инжекторы начали устанавливаться на 50 лет раньше. Первый автомобиль, который был оснащен механической системой непосредственного впрыска от немецкой фирмы Bosch, был Goliath 700 Sport (1951-й год).
Известная модель под названием «Крыло чайки» (Mercedes-Benz 300SL) оснащалась аналогичной модификацией ТС.
В конце 50-х – начале 60-х гг. разрабатывались системы, которые работали бы от микропроцессора, а не за счет сложных механических устройств. Однако эти разработки долгое время оставались недоступными, пока не появилась возможность приобретать дешевые микропроцессоры.
Массовое внедрение электронных систем было обусловлено ужесточением экологических норм и большей доступности микропроцессоров. Первая серийная модель, получившая электронный впрыск, была Nash Rambler Rebel 1967-го года выпуска. Для сравнения карбюраторный 5.4-литровый мотор развивал 255 лошадиных сил, а новая модель с системой electrojector и идентичным объемом уже обладал 290 л.с.
Благодаря большей экономичности и увеличенной эффективности разные модификации инжекторных систем постепенно вытеснили карбюраторы (хотя на малых механизированных средствах такие устройства еще активно используются благодаря их дешевизне).
На сегодняшний день большинство легковых автомобилей оснащаются электронным впрыском от Bosch. Разработка называется jetronic. В зависимости от модификации системы ее название будет дополняться соответствующими приставками: Mono, K/KE (механическая/электронная система дозирования), L/LH (распределенный впрыск с управлением на каждый цилиндр) и т.д. Похожую систему разработала еще одна немецкая компания – Opel, и она называется Multec.
Продолжительность впрыска и кривая интенсивности подачи (впрыска)
Термин «интенсивность подачи» описывает кривую характеристику количества впрыснутого в камеру сгорания топлива как функцию угла поворота коленчатого или кулачкового вала (соответственно углы поворота коленчатого или кулачкового вала).
Одним из главных параметров, влияющих на кривую интенсивности подачи, является продолжительность впрыска. Она измеряется в углах поворота коленчатого или кулачкового вала или в миллисекундах и является периодом, в течение которого открыта форсунка и топливо впрыскивается в камеру сгорания, На рисунке показано, как подача количества впрыскиваемого топлива начинается с помощью кулачкового вала насоса и как топливо впрыскивается из форсунки (как функция угла поворота кулачкового вала). Можно видеть, что характеристика давления и кривая интенсивности подачи сильно изменяются между элементом насоса и форсункой, и что на них влияют детали, которые определяют впрыск (кулачок, элемент насоса, нагнетательный клапан, топливопровод (магистраль подачи) и форсунка).
Рис. Продолжительность впрыска и кривая интенсивности подачи
Рис. rl — период задержки воспламенения; 1. Подъем кулачка, скорость подъема; 2. Давление в камере элемента насоса; 3. Подъем клапана; 4. Давление в топливопроводе на стороне насоса; 5. Давление в топливопроводе на стороне форсунки; 6. Подъем иглы форсунки; 7. Кривая интенсивности подачи; 8. Угол поворота кулачка, град.
Различные системы дизельных двигателей требуют различной продолжительности впрыска в каждом из случаев. Двигатели с непосредственным впрыском требуют примерно 25 — 30° поворота коленчатого вала при определенном числе оборотов, а двигатели с предкамерой — угла поворота коленчатого вала в 35 — 40°. Продолжительность впрыска при 30°- повороте коленчатого вала, соответствующем повороту на 15° кулачкового вала, означает продолжительность впрыска в 1,25 миллисекунд для числа оборотов ТНВД, равному 2000 об/мин.
Для поддержания расхода топлива и выбросов серы на низком уровне, продолжительность впрыска должна быть определена как функция рабочей точки и зависит от начала впрыска. При начале впрыска должно протекать лишь малое количество топлива, тогда как в конце требуется большое количество топлива. Форсунка затем должна закрыться как можно быстрее. Такая кривая интенсивности подачи приведет к медленному повышению давления сжатия. Сгорание, таким образом, будет «мягким». В двигателях с непосредственным впрыском шум от сгорания заметно меньшается, если малая часть топлива, впрыснутого в камеру сгорания, мелко распылена перед основным впрыском.
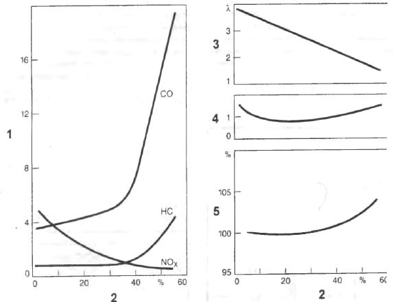
Рис. as — начало впрыска в градусах поворота коленчатого вала до ВМТ; 1. Расход топлива; 2. г/кВт-ч; 3. Продолжительность впрыска; 4. Сера; 5. Градусы поворота коленчатого вала; 6. Окислы азота (NOx); 7. Углеводороды (НС); 8. г/ч.
Такой метод впрыска остается очень дорогим. В двигателях с разделенной камерой сгорания (с предкамерой или вихревой камерой) используются игольчатые дросселирующие форсунки. Эти форсунки образуют одну струю топлива и определяют кривую интенсивности подачи. Форсунки управляют поперечным сечением выхода как функцией хода клапана впрыска (нагнетательного клапана).
Вторичный впрыск (или так называемое «капание») особенно нежелателен и происходит из-за быстрого повторного открывания форсунки после ее закрывания, и она впрыскивает плохо подготовленное топливо позже в процессе сгорания. Эго топливо сгорает не полностью или вообще не сгорает и выходит через выхлопные газы как несгоревшие углеводороды.
Быстрозакрывающиеся форсунки предотвращают такое «капание». «Мертвый объем» в нижней части у седла форсунки производит эффект, подобный «капанью». Пары топлива, накапливающиеся в этом объеме, выходят в камеру сгорания после окончания сгорания и также поступают в выхлопные газы, где увеличивают выбросы несгоревших углеводородов. Наименьший «мертвый объем» получается у форсунок с седлом с отверстиями.
Давление впрыска
Чем выше относительные скорости топлива и воздуха, чем выше плотность воздуха в камере сгорания, тем мельче распыление дизельного топлива. Высокое давление топлива приводит к высокой его скорости. Дизельные двигатели с разделенными камерами сгорания работают при высоких скоростях воздуха в вихревой камере или в дополнительной камере сгорания (предкамере) или в соединительном канале между вихревой и основной камерами сгорания. Здесь рабочее давление превышает примерно 350 бар. Для дизельных двигателей с непосредственным впрыском скорость воздуха в камере сгорания относительно низка и смешивание является нормальным.
Смешивание существенно улучшается, если топливо впрыскивается в камеру сгорания под высоким давлением. Выбросы сажи могут быть существенно снижены, особенно на низких оборотах двигателя, используя давления впрыска вплоть до 1000 бар. Повышенные давления впрыска заметно увеличивают расход топлива, т.к. помимо прочего возрастает нагрузка на двигатель для привода ТНВД.
Рис. Давление впрыска: OCs — начало впрыска после ВМТ; 1. Черный дым; 2. г/кВт-ч; 3. Расход топлива, в,; 4. Окислы азота NOx.
Что такое система впрыска топлива
Под системой впрыска бензина подразумевается механизм принудительного дозированного поступления топлива в цилиндры двигателя. Учитывая то, что при плохом сгорании ВТС выхлоп содержит много вредных веществ, загрязняющих окружающую среду, моторы, в которых производится точный впрыск, более экологичны.
Для повышения эффективности смешивания управление процессом имеет электронный тип. Электроника более качественно дозирует порцию бензина, а также позволяет распределить ее на мелкие части. Чуть позже мы обсудим разные модификации систем впрыска, но они имеют одинаковый принцип работы.
Направление впрыска
Дизельные двигатели с предкамерой или с вихревой камерой работают только с одной струей (факелом) топлива, направление которого подбирается для соответствующей камеры сгорания. Отклонение приводят к худшему использованию воздуха и, таким образом, к увеличению выбросов черного дыма и несгоревших углеводородов.
Дизельные двигатели с непосредственным впрыском обычно работают с 4 — 6 распылительными отверстиями в форсунке, направление впрыска которых очень точно подбирается для соответствующей камеры сгорания. Отклонения в пределах 2° от оптимального направления приводят к заметному увеличению выбросов черного дыма и расхода топлива.
Избыточный воздух и «поведение» выхлопных газов
Дизельные двигатели обычно работают без дросселирования поступающего воздуха. Если имеется много избыточного воздуха, то топливо сгорает «чище» в камере сгорания. Компоненты выхлопных газов, такие как окись углерода, СО и сажа образуются в очень низких концентрациях. Избыток воздуха в камере сгорания уменьшается с увеличением количества впрыскиваемого топлива. Если принимать во внимание низкий вес двигателя и его стоимость, то для конкретного двигателя существует определенный объем для получения максимально возможной мощности. Двигатель поэтому должен работать с небольшим избытком воздуха при высоких нагрузках. Если избыток воздуха мал, то выбросы должны быть ограничены, т.е. количество топлива должно быть точно дозировано для данного количества воздуха и в зависимости от оборотов двигателя. Низкое давление воздуха (например, на большой высоте) требует адаптации количества впрыснутого топлива к уменьшившемуся количеству воздуха.
Карбюраторные системы питания
Рассмотрим сначала карбюраторные системы питания, которые еще недавно были широко распространены. Они более просты и дешевы по сравнению с инжекторными, не требуют высококвалифицированного обслуживания в процессе эксплуатации и в ряде случаев более надежны.
Система питания топливом карбюраторного двигателя включает в себя топливный бак 1, фильтры грубой 2 и тонкой 4 очистки топлива, топливоподкачивающий насос 3, карбюратор 5, впускной трубопровод 7 и топливопроводы. При работе двигателя топливо из бака 1 с помощью насоса 3 подается через фильтры 2 и 4 к карбюратору. Там оно в определенной пропорции смешивается с воздухом, поступающим из атмосферы через воздухоочиститель 6. Образовавшаяся в карбюраторе горючая смесь по впускному коллектору 7 попадает в цилиндры двигателя.
Топливные баки в силовых установках с карбюраторными двигателями аналогичны бакам систем питания дизелей. Отличием баков для бензина является лишь их лучшая герметичность, не позволяющая бензину вытечь даже при опрокидывании ТС. Для сообщения с атмосферой в крышке наливной горловины бака обычно устанавливают два клапана — впускной и выпускной. Первый из них обеспечивает поступление в бак воздуха по мере расходования топлива, а второй, нагруженный более сильной пружиной, предназначен для сообщения бака с атмосферой, когда давление в нем выше атмосферного (например, при высокой температуре окружающего воздуха).
Фильтры карбюраторных двигателей аналогичны фильтрам, применяемым в системах питания дизелей. На грузовых автомобилях устанавливаются пластинчато-щелевые и сетчатые фильтры. Для тонкой очистки используют картон и пористые керамические элементы. Кроме специальных фильтров в отдельных агрегатах системы имеются дополнительные фильтрующие сетки.
Топливоподкачивающий насос служит для принудительной подачи бензина из бака в поплавковую камеру карбюратора. На карбюраторных двигателях обычно применяют насос диафрагменного типа с приводом от эксцентрика распределительного вала.
В зависимости от режима работы двигателя карбюратор позволяет готовить смесь нормального состава (а = 1), а также обедненную и обогащенную смеси. При малых и средних нагрузках, когда не требуется развивать максимальную мощность, следует готовить в карбюраторе и подавать в цилиндры обедненную смесь. При больших нагрузках (продолжительность их действия, как правило, невелика) необходимо готовить обогащенную смесь.
Рис. Схема системы питания топливом карбюраторного двигателя: 1 — топливный бак; 2 — фильтр трубой очистки топлива; 3 — топливоподкачивающий насос; 4 — фильтр тонкой очистки; 5 — карбюратор; 6 — воздухоочиститель; 7 — впускной коллектор
В общем случае в состав карбюратора входят главное дозирующее и пусковое устройства, системы холостого хода и принудительного холостого хода, экономайзер, ускорительный насос, балансировочное устройство и ограничитель максимальной частоты вращения коленчатого вала (у грузовых автомобилей). Карбюратор может содержать также эконостат и высотный корректор.
Главное дозирующее устройство функционирует на всех основных режимах работы двигателя при наличии разрежения в диффузоре смесительной камеры. Основными составными частями устройства являются смесительная камера с диффузором, дроссельная заслонка, поплавковая камера, топливный жиклер и трубки распылителя.
Пусковое устройство предназначено для обеспечения пуска холодного двигателя, когда частота вращения проворачиваемого стартером коленчатого вала невелика и разрежение в диффузоре мало. В этом случае для надежного пуска необходимо подать в цилиндры сильно обогащенную смесь. Наиболее распространенным пусковым устройством является воздушная заслонка, устанавливаемая в приемном патрубке карбюратора.
Система холостого хода служит для обеспечения работы двигателя без нагрузки с малой частотой вращения коленчатого вала.
Система принудительного холостого хода позволяет экономить топливо во время движения в режиме торможения двигателем, т. е. тогда, когда водитель при включенной передаче отпускает педаль акселератора, связанную с дроссельной заслонкой карбюратора.
Рекомендуем: Как установить дефлектор (мухобойку) на капот: пошаговая фото-инструкция
Экономайзер предназначен для автоматического обогащения смеси при работе двигателя с полной нагрузкой. В некоторых типах карбюраторов кроме экономайзера для обогащения смеси используют эконостат. Это устройство подает дополнительное количество топлива из поплавковой камеры в смесительную только при значительном разрежении в верхней части диффузора, что возможно лишь при полном открытии дроссельной заслонки.
Ускорительный насос обеспечивает принудительный впрыск в смесительную камеру дополнительных порций топлива при резком открытии дроссельной заслонки. Это улучшает приемистость двигателя и соответственно ТС. Если бы ускорительного насоса в карбюраторе не было, то при резком открытии заслонки, когда расход воздуха быстро растет, из-за инерционности топлива смесь в первый момент сильно обеднялась бы.
Балансировочное устройство служит для обеспечения стабильности работы карбюратора. Оно представляет собой трубку, соединяющую приемный патрубок карбюратора с воздушной полостью герметизированной (не сообщающейся с атмосферой) поплавковой камеры.
Ограничитель максимальной частоты вращения коленчатого вала двигателя устанавливается на карбюраторах грузовых автомобилей. Наиболее широко распространен ограничитель пневмоцентробежного типа.
Рециркуляция выхлопных газов (EGR)
У двигателей с EGR выпускаемый воздух может смешиваться с поступающим воздухом при работе в режиме частичной нагрузки для уменьшения выбросов NOx. Эта мера уменьшает концентрацию кислорода в выхлопе и к тому же выхлопные газы обладают большей теплоемкостью, чем воздух. Оба этих фактора уменьшают температуру сгорания (и вместе с ней образование NOx). Увеличение скорости EGR (2) уменьшает расход свежего воздуха для двигателя и, таким образом, количество избыточного воздуха (3 — коэффициент избытка воздуха). Следовательно, выбросы (1 — концентрация выбросов) углеводородов и сажи (4) в выхлопных газах возрастают, если поступающий воздух содержит избыточную долю выхлопных газов.
Попытки существенно снизить выбросы NOx с помощью рециркуляции выхлопных газов также требуют точной регулировки количества впрыскиваемого топлива (5) для требуемого количества воздуха при работе в области частичных нагрузок. Другими словами, количество рециркулирующих выхлопных газов должно быть ограничено так, чтобы для сгорания впрыснутого топлива в камере сгорания имелось достаточное количество кислорода.
Рис. Рециркуляция выхлопных газов
Основные датчики
- Датчик положения коленчатого вала (Датчик Холла). Дает блоку знать, расположение поршней в цилиндрах. Суть работы в том, что находящееся на валу мотора зубчатое колесо двигается около магнита. Его зубья искажают магнитное поле, создавая импульсы в катушке. ЭБУ считывает эти импульсы и определяет положение коленвала. Если этот датчик вышел из строя, то до СТО доехать на своей машине не получится.
- Датчик расхода воздуха (ДРВ). Существует два вида таких датчиков, один измеряет массу другой объем вбираемого воздуха. ДМРВ производит замер и посылает в ЭБУ. В потоке есть нагревательный элемент, температура которого автоматически держится на нужном показателе. Чем тяжелее воздух, тем больший ток должен проходить через него, для поддержания оптимальной температуры. Потому ЭБУ по силе тока определяет массу всасываемого воздуха. Что касается датчика объёма (ДОРВ), то он устроен так. В потоке, где проходит забор воздуха, установлена перегородка, открывающаяся под натиском воздуха. ЭБУ определяет положение заслонки при помощи потенциометра. Во время неполадки параметры датчика не учитываются, а расчет происходит по показателям аварийной таблицы.
ЭБУ инжектора
- Датчик положения дроссельной заслонки. Контролирует положение дроссельной заслонки, из-за чего ЭБУ может правильно сокращать или увеличивать расход горючего.
- Датчики кислорода (лямбда-зонд). Вычисляет количество кислорода в выхлопных газах. На его показаниях ЭБУ выявляет бедную смесь и вносит поправки.
- Датчик температуры охлаждающей жидкости. Дает понять компьютеру, когда мотор достиг нужной рабочей температуры. В момент аварии, параметры датчика игнорируеются, температура, берется из таблицы опираясь на время работы двигателя.
- Коллекторный датчик абсолютного давления (ДАД) Анализирует воздух и его количество во впускном коллекторе, этот показатель нужен для устанавливания количества проводимой энергии.
- Датчик напряжения. Смотрит за напряжением бортовой сети машины. По его показаниям контроллер может набавлять или, наоборот, уменьшать холостые обороты мотора.
- Датчик детонации. Представляет собой высокочастотный микрофон, улавливающий недопустимые звуковые вибрации в моторе. Получая аномальные звуки, контроллер производит автоматическое корректирование угла опережения.
Рекомендуем: Адаптивная регулируемая подвеска: в чём секрет управляемости дорогих авто?




